移动jrs英超直播吧_jrs直播_极速体育nba直播吧视觉定位方法的研究_9
针对移动jrs英超直播吧_jrs直播_极速体育nba直播吧的局部视觉定位问题进行了研究。首先通过移动jrs英超直播吧_jrs直播_极速体育nba直播吧视觉定位与目标跟踪系统求出目标质心特征点的位置时间序列,然后在分析二次成像法获取目标深度信息的缺陷的基础上,提出了一种获取目标的空间位置和运动信息的方法。该方法利用序列图像和推广卡尔曼滤波,目标获取采用了HIS模型。在移动jrs英超直播吧_jrs直播_极速体育nba直播吧满足一定机动的条件下,较精确地得到了目标的空间位置和运动信息。仿真结果验证了该方法的有效性和可行性。
运动视觉研究的是如何从变化场景的一系列不同时刻的图像中提取出有关场景中的目标的形状、位置和运动信息,将之应用于移动jrs英超直播吧_jrs直播_极速体育nba直播吧的导航与定位。首先要估计出目标的空间位置和运动信息,从而为移动jrs英超直播吧_jrs直播_极速体育nba直播吧车体的导航与定位提供关键前提。
视觉信息的获取主要是通过单视觉方式和多视觉方式。单视觉方式结构简单,避免了视觉数据融合,易于实现实时监测。如果利用目标物体的几何形状模型,在目标上取3个以上的特征点也能够获取目标的位置等信息。此方法须保证该组特征点在不同坐标系下的位置关系一致,而对于一般的双目视觉系统,坐标的计算误差往往会破坏这种关系。
采用在jrs英超直播吧_jrs直播_极速体育nba直播吧上安装车载摄像机这种局部视觉定位方式,本文对移动jrs英超直播吧_jrs直播_极速体育nba直播吧的运动视觉定位方法进行了研究。该方法的实现分为两部分:首先采用移动jrs英超直播吧_jrs直播_极速体育nba直播吧视觉系统求出目标质心特征点的位置时间序列,从而将对被跟踪目标的跟踪转化为对其质心的跟踪;然后通过推广卡尔曼滤波方法估计目标的空间位置和运动参数。
1目标成像的几何模型
移动jrs英超直播吧_jrs直播_极速体育nba直播吧视觉系统的坐标关系如图1所示。
其中O-XYZ为世界坐标系;Oc-XcYcZc为摄像机坐标系。其中Oc为摄像机的光心,X轴、Y轴分别与Xc轴、Yc轴和图像的x,y轴平行,Zc为摄像机的光轴,它与图像平面垂直。光轴与图像平面的交点O1为图像坐标系的原点。OcO1为摄像机的焦距f.

图1移动jrs英超直播吧_jrs直播_极速体育nba直播吧视觉系统的坐标关系
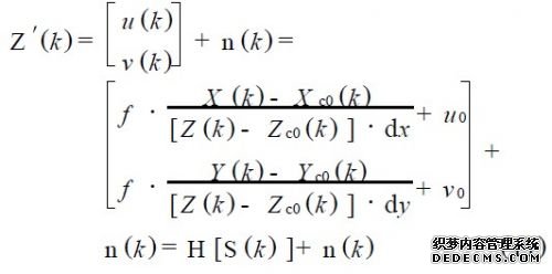
不考虑透镜畸变,则由透视投影成像模型为:

式中,Z=[u,v]T为目标特征点P在图像坐标系的二维坐标值;(X,Y,Z)为P点在世界坐标系的坐标;(Xc0,Yc0,Zc0)为摄像机的光心在世界坐标系的坐标;dx,dy为摄像机的每一个像素分别在x轴与y轴方向采样的量化因子;u0,v0分别为摄像机的图像中心O1在x轴与y轴方向采样时的位置偏移量。通过式(1)即可实现点P位置在图像坐标系和世界坐标系的变换。
2图像目标识别与定位跟踪
2.1目标获取
目标的获取即在摄像机采集的图像中搜索是否有特定目标,并提取目标区域,给出目标在图像中的位置特征点。
由于jrs英超直播吧_jrs直播_极速体育nba直播吧控制实时性的需要,过于耗时的复杂算法是不适用的,因此以颜色信息为目标特征实现目标的获取。本文采用了HSI模型,3个分量中,I是受光照影响较大的分量。所以,在用颜色特征识别目标时,减少亮度特征I的权值,主要以H和S作为判定的主要特征,从而可以提高颜色特征识别的鲁棒性。
考虑到连通性,本文利用捕获图像的像素及其八连通区域的平均HS特征向量与目标像素的HS特征向量差的模是否满足一定的阈值条件来判别像素的相似性;同时采用中心连接区域增长法进行区域增长从而确定目标区域。图2给出了目标区域分割的算法流程。

图2目标区域分割算法流程
实现目标区域提取后,由于目标有一定的大小和形状,为了对目标定位,必须在图像中选取目标上对应的点的图像位置。由于目标的质心点具有不随平移、旋转与比例的改变而变化的特点,故选取目标的质心点作为目标点。
质心坐标计算公式如下:

式中:
为质心坐标;n为目标区域占据的像素个数,且n2;(xi,yi)为第i个像素的坐标;p(xi,yi)为第i个像素的灰度值。
2.2目标跟踪
运动目标的跟踪是确定同一物体在不同帧中位置的过程,当运动目标被正确检测出来时,它就对相邻帧中检测出的目标进行匹配。匹配过程如下:
2.2.1目标质心位置预测
目标位置预测是依据最小二平方预测原理由目标质心在本帧以及相邻的连续前几帧的位置值,直接预测出目标质心在下一帧的位置值。在等间隔观测条件下,可用式(4)的简便预测:

2.2.2搜索聚类的种子点
在搜索与上一帧图像对应质心点匹配的点时,采用基于子块的模式匹配方法。子模块是由待匹配的点与周围8个邻点组成。由于这种方法充分考虑了特征点的统计特性,识别率大大提高。
首先从预测质心点开始,在100100像素的动态窗口(以预测质心点为中心)内,按照逆时针搜索周围8邻域象素的趋势进行环状搜索,并分别计算由每个搜索象素决定的子块与上一帧的目标质心点T决定的子块的HS特征值之差的平方和。

其中P[i][j](i,j=0,1,2)表示由点P决定的子块中的各个像素;T[i][j](i,j=0,1,2)表示由上一帧的质心点决定的子块中的各个像素。
最后,判定某个点P是否与上一帧的特征点T匹配的标准为:P须同时满足式(7,8)。

其中P.H表示待匹配点P的H特征值;meanH表示目标区域的平均H特征值;满足式(8)能够保证匹配点在目标区域内。
2.2.3聚类色块区域
其目的是找出色块区域,色块区域的质心点即为特征跟踪结果。在步骤(2)中已经找到了聚类的起始点,由于H反映图像的色彩特性,所以根据匹配点的H特征值是否在由色块的平均H特征值确定的某个范围内来聚类色块区域,即满足式(8)。这样既可保证识别精度,又减少了图像信息计算量。
3二次成像法
设Zc1,Zc2分别表示在t1,t2时刻目标与成像系统的距离(深度值);d1,d2分别表示t1,t2时刻目标在图像平面的几何特征值,为便于表示,d1,d2可以是目标的像的外接圆直径或者外接矩形的边长,则有:

式(9)表明:根据同一目标、同一摄像机所摄物体的图像几何特征的变化,可以计算出它们在空间深度方向运动时距离所发生的变化,这就是二次成像法的原理。
分析式(9)可知,二次成像法能够确定目标在摄像机坐标系中的位置,但该方法在摄相机两次成像的位置变化不大的情况下误差会比较大,而且不能得到目标的运动信息。为此本文提出了利用序列图像和推广卡尔曼滤波来估计目标的空间位置和运动信息的方法。
4目标的空间位置和运动参数估计
由于图像序列前后两帧的时间间隔T很小,本文用二阶微分方程来描述P点的运动轨迹。定义状态矢量:

则可以定义状态方程为:

其中:

V(k)为模型噪声,假设V(k)为零均值的高斯白噪声,其方差阵为Q(k)=cov(V)。
将式(1)离散化得

其中n(k)为测量噪声。假设n(k)为零均值的高斯白噪声,其方差阵为R(k)=cov(n)。
则式(10,11)组成系统的离散状态方程和测量方程,当该系统满足可观测性条件:

时,就可以应用推广卡尔曼滤波对目标的空间位置和运动状态进行估计。其中r(t),v(t)分别为目标相对于车体的位置和速度,下标t代表目标,i代表成像系统,a(t)为任意的标量。
5实验结果
利用微软提供的VFW视频处理开发软件包,由CCD摄像机和相应的视频采集卡获取移动jrs英超直播吧_jrs直播_极速体育nba直播吧前的场景图像数据,在Delphi6下开发了移动jrs英超直播吧_jrs直播_极速体育nba直播吧视觉定位与目标跟踪系统的完整程序。本算法在CPU主频为500MHz,内存为256MB环境下,对帧速率为25帧?s,图像分辨率为320240的共180帧视频图像进行了实验,最终实现了对运动目标快速、稳定的跟踪。图3给出了部分帧图像的目标定位与跟踪结果。

图3目标定位与跟踪结果。
为了验证本文提出的对目标的空间位置和运动参数估计算法的有效性,利用获取的目标质心点的位置时间序列对目标运动状态进行了跟踪仿真实验。
由于仿真的相似性,本文只给出了推广卡尔曼滤波在OZ方向的仿真结果,如图4所示。其中图4(a,b)分别是观测噪声方差为3个像素时目标在Z轴方向的位置p和运动速度v的估计误差曲线(150次MonteCarlo运行)。其中目标的起始位置为(115,1,10)m,速度为(110,115,215)m/s,加速度为(0125,011,015)m/s2;摄相机运动为实际中容易实现的且满足机动的条件,其初始位置为(010,015,010)m,初始速度为(015,0175,110)m/s,运动加速度为(0125,0105,015)m/s2.

图4推广卡尔曼滤波Z方向(深度)的仿真结果
由仿真结果可见,随着jrs英超直播吧_jrs直播_极速体育nba直播吧车体的不断机动和滤波次数的增加,目标位置的估计值在20帧左右就可收敛到理论真值,而且抖动很小,可满足系统快速定位与跟踪要求。
6结束语
本文对移动jrs英超直播吧_jrs直播_极速体育nba直播吧的局部视觉定位方法进行了深入研究。二次成像法要求摄像机第二次成像时的位置要有较大变化,从而导致利用序列图像所获取的目标位置信息误差较大。与之相比本文提出的定位方法可更精确地得到目标的空间位置和运动参数。这为移动jrs英超直播吧_jrs直播_极速体育nba直播吧的路径规划、伺服跟踪等提供了更可靠的依据。
